Lectures
Lecture 40 (Introduction to Polynomials)   Typed   Written Notes
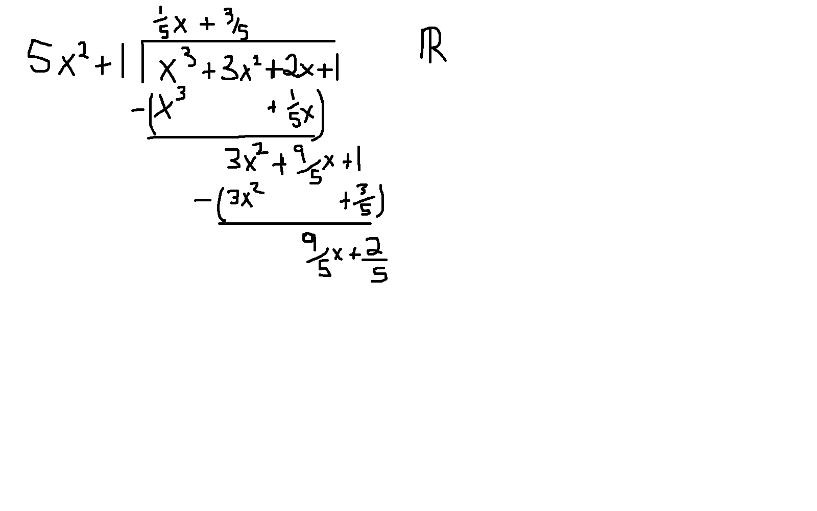
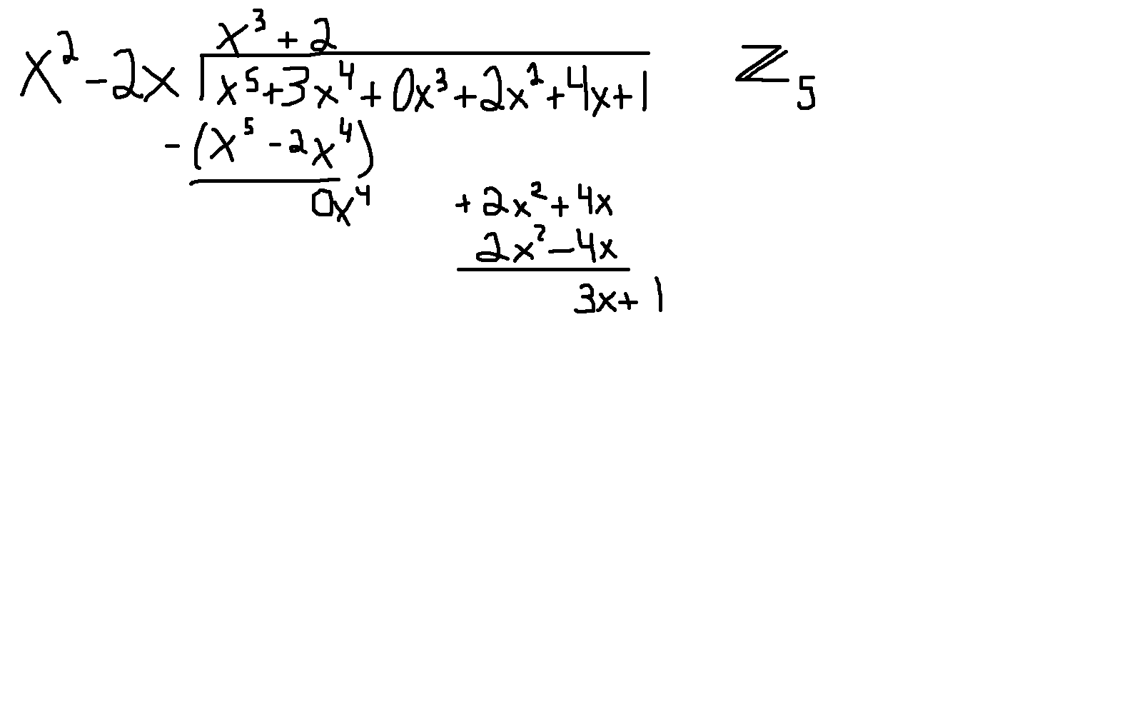
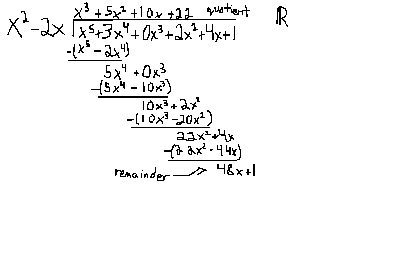
Lecture 41 (Division Algorithm for Polynomials, Remainder Theorem, Factor Theorem(s))   Typed   Written Notes
Lecture 42 (Fundamental Theorem of Algebra)   Typed   Written Notes
Lecture 43 (Rational Roots Theorem)   Typed   Written Notes
Videos