Long Division over $\mathbb{R}$ and $\mathbb{Z}_p$

Hello everyone. In this video, we're going to talk about long division, and we're going to do it over a couple of different fields.

Question: What are the quotient and remainder when $x^5+3x^4+2x^2+4x+1$ is divided by $x^2-2x$ over $\mathbb{R}$? How about over $\mathbb{Z}_5$?

Solution Over $\mathbb{R}$

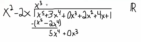
Setting up long division of the above polynomials

We'd like to long divide these two polynomials. As you've noticed here in the middle, I have this extra $x^3$ with a $0$ coefficient. It's just a placeholder to help me keep everything organized as I attempt to go through this.

Okay, so let's begin. The question that I want to know is what number do I have to multiply $x^2$ by to get to $x^5$ over $\mathbb{R}$? $x^3$. Now I take $x^3$, multiply it by this whole polynomial $x^2-2x$, what do I get?

I'm going to get $x^5$. If these don't match up, then you've made a mistake on the first step, and I'm going to get $-2x^4$.

Now I subtract, and that's going to give me $5x^4$. Now I'm going to bring down the $0$ term, again it's not important that you write this. I'm just doing it for organizational purposes.

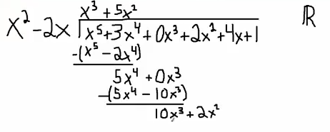
Steps written down that were previously described above

Now the number I'm going to multiply to $x^2$ to get to $5x^4$ that's $5x^2$, and then I'm going to take $5x^2$ multiply by the $-2x$, that’s going to be $-10x^3$.

Now we subtract. First two terms cancel again. Next two terms, it's going to give me a $10x^3$. plus, let's bring down the next term, $2x^2$.

Steps written down that were previously described above

$x^2$ multiplied by $10x$ is $10x^3$, so up top I go $10x$. By the way, another way to see this, doesn't always work - well it does always work we have to think of the word divide carefully, you could divide $10x^3$ by $x^2$, and that will give you the number on the top. You have to divide properly in whatever field you're working in. In this case, it's $\mathbb{R}$, so we have a good understanding of what's going on.

$10x^3$ and $-20x^2$. Subtract, so it's going to be $22x^2$, then I'm going to drop down the $4x$

Steps written down that were previously described above

I'm going to do the long division so $x^2$ goes into $22x^2$ $22$ times. So I'm going to get $22x^2-44x$. And my last subtraction is going to give me $48x+1$. And remember that this is the remainder, the $48x+1$, and up top is my quotient.

Steps written down that were previously described above

Solution Over $\mathbb{Z}_5$

Okay, great. So there's a long division example over $\mathbb{R}$. Now what I'd like to do is I'd like to do the same computation over $\mathbb{Z}_5$ and see what changes, okay?

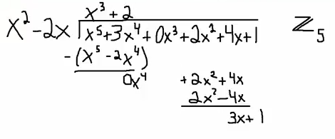
Setting up long division of the above polynomials but in Z mod 5

So again $x^2$ goes into $x^5$, $x^3$ times. So now, what are we going to get? We're going to get $x^5-2x^4$, and $3x^4-(2x^4)=5x^4\equiv 0$ in $\mathbb{Z}_5$. So bring down the $0$, that doesn't work, let's go down to the next term, which is going to be $2x^2+4x$.

Steps written down that were previously described above

Now the question is what do I have to multiply $x^2$ by to get to $2x^2$, that's easy, it's going to be $2$. So that's going to give me $2x^2-4x$. $4-(-4)=8$, that's going to leave me with a remainder of $3x+1$. And that is it.

Steps written down that were previously described above

So here's my remainder, it’s now $3x+1$, and my quotient here is $x^3+1$. So if we go back to the previous example, the remainder was $48x+1$ and our quotient was $x^3+5x^2+10x+22$, but if you reduce this $\bmod 5$, we actually get the same answer.

If you reduce $48x+1\bmod 5$, you get $3x+1$ and our second remainder is $3x+1$. It also works for the two quotients.

So, in this setting, you do get the same answer if you just reduce the work over $\mathbb{R}$, over $\mathbb{Z}_5$. It's something to think about. Does it always happen? I'll probably make another video where it may or may not happen. I'm going to try a different one. But that's the idea, okay? So hopefully this gives you a little bit of practice with long division and thank you very much.